中空旋转平台减速机无侧隙啮合条件
 文章出处:合富源中空旋转平台 人气:发表时间:2019-07-22 11:11 
          
		中空旋转平台减速机的齿轮啮合传动时,为了在啮合齿廓之间形成润滑油膜,避免因轮齿摩檫发热膨胀而卡死,齿廓之间必须留有间隙,此间隙称为齿侧间隙,简称侧隙。但是,齿侧间隙的存在会产生齿间冲击,影响齿轮传动的平稳性。因此,这个间隙只能很小,通常由齿轮公差来保证。对于中空旋转平台减速机齿轮运动设计仍按无齿侧间隙(侧隙为零)进行设计。 
	
		对中空旋转平台减速机齿轮啮合过程中,两节圆作纯滚动。因此,两齿轮的节圆齿距应相等,即 p1 ` =p2 ` 。为保证无齿侧间隙啮合,一齿轮的节圆齿厚必须等于另一齿轮节圆齿槽宽,即 s1 ` =e2` 或 p2` =e1 ` 。这样有 ,故 
	
		即齿轮啮合传动的无侧隙啮合条件是:中空旋转平台减速机节圆齿距等于两轮节圆齿厚之和。
	
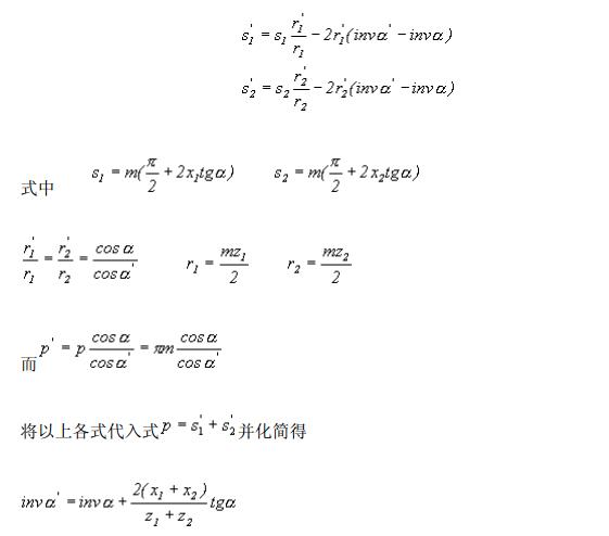
		中空旋转平台减速机无侧隙啮合方程式节圆齿厚 s1 ` ,p2 ` : 
	
		上式称为中空旋转平台减速机无侧隙啮合方程式。该式表明:一对齿轮的变位系数确定后,只有按此式求得的啮合角α` 安装,才能保证无侧隙啮合传动。对于标准齿轮传动,因 x1=x2=0 ,则有α` =α。
	 下一篇:中空旋转平台减速机齿轮的精度选择 上一篇:中空旋转平台减速机设计应满足的条件 
            同类文章排行
- 国产电动缸品牌强得力伺服电动缸的七大系列
 - 东莞中空旋转平台生产厂家广宏自动化简介
 - 伺服电动缸厂家解析折返式伺服电动缸在升降平台上的优势
 - 强得力伺服电动缸用于汽车零部件加工实际应用
 - 什么是中空旋转平台减速机
 - 如何正确计算伺服电动缸的推力?
 - 什么是行星减速机( Planetary GearBox)?
 - 伺服电动缸常见的三种故障原因和解决方法
 - 详解伺服电动缸的推力计算公式
 - 伺服电动缸的优点和如何辨别电动缸自锁功能的
 
最新资讯文章
- 浅淡伺服电动缸的常见故障有哪些
 - 电动缸如何与电机连接你知道吗?
 - 浅淡伺服电机电动缸编码器的作用
 - 伺服电动缸的内部结构有哪些配件你知道吗?
 - 伺服电动缸出现卡住的情况应该怎么处理?
 - 造成伺服电动缸出现漏电的原因有哪些?
 - 为什么说伺服电动缸要比液压缸牢固?
 - 浅淡哪些地方不合适用伺服电动缸
 - 什么是伺服电动缸的径向力?伺服电动缸可以承受多重的径向力
 - 浅淡伺服电动缸行程开关的作用及安装方式
 - 伺服电动缸在编程控制时有什么注意事项?
 - 影响伺服电动缸的噪音有哪些原因呢?
 - 伺服电动缸加磁环的作用有哪些你知道吗?
 - 伺服电动缸的使用注意事项与日常维护
 - 相较于气缸伺服电动缸的优势在哪里呢?
 - 浅淡伺服电动缸的使用方式
 - 强得力伺服电动缸有哪些优点呢?
 - 伺服电动缸有哪些安装方式呢?
 - 折返式伺服电动缸优点介绍
 - 东莞伺服电动缸厂家强得力伺服电动缸分类介绍
 




